Упр.6.23 ГДЗ Дорофеев Суворова 7 класс (Алгебра)
Решение #1

Рассмотрим вариант решения задания из учебника Дорофеев, Суворова, Бунимович 7 класс, Просвещение:
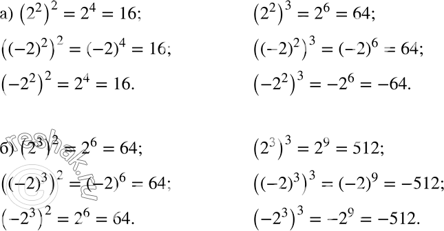
Возведите в квадрат и в куб выражение:
а) 2^2, (-2)2, -2^2;
б) 2^3, (-2)3, -2^3.
Популярные решебники 7 класс Все решебники
*К сожалению, временные проблемы с публикацией комментариев с мобильных устройств.