Упр.6.22 ГДЗ Дорофеев Суворова 7 класс (Алгебра)
Решение #1

Рассмотрим вариант решения задания из учебника Дорофеев, Суворова, Бунимович 7 класс, Просвещение:
Выполните действие:
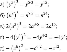
а) (y^5)^3; б) (n^8)^3; в) 2(а^3)^5; г) -4(у^4)^2; д) -(с^6)^2.
Популярные решебники 7 класс Все решебники
*К сожалению, временные проблемы с публикацией комментариев с мобильных устройств.