Упр.6.30 ГДЗ Дорофеев Суворова 7 класс (Алгебра)
Решение #1

Рассмотрим вариант решения задания из учебника Дорофеев, Суворова, Бунимович 7 класс, Просвещение:
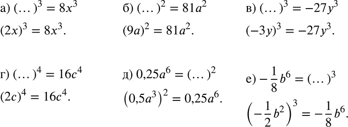
Рассуждаем Какое выражение должно быть записано в скобках:
а) (...)3 = 8х3;
б) (...)2 = 81а2;
в) (...)3 = —27у3;
г) (...)4 = 16с4;
д) 0,25а6 = (...)2;
е) -1/8 * b6 = (...)3?
Популярные решебники 7 класс Все решебники
*размещая тексты в комментариях ниже, вы автоматически соглашаетесь с пользовательским соглашением