Упр.6.25 ГДЗ Дорофеев Суворова 7 класс (Алгебра)
Решение #1

Рассмотрим вариант решения задания из учебника Дорофеев, Суворова, Бунимович 7 класс, Просвещение:
Упростите выражение:
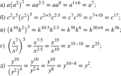
а) а(а^2)^3;
б) c^2 c^5 (c^2)^5;
в) (k^10 k^2)^3;
г) (x^7/x^2)^5;
д) y^10/(y^2)^4.
Популярные решебники 7 класс Все решебники
*К сожалению, временные проблемы с публикацией комментариев с мобильных устройств.