Упр.6.14 ГДЗ Дорофеев Суворова 7 класс (Алгебра)
Решение #1

Рассмотрим вариант решения задания из учебника Дорофеев, Суворова, Бунимович 7 класс, Просвещение:
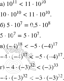
Рассуждаем Сравните значения выражений:
а) 10^11 и 11 * 10^10;
б) 5 * 10^7 и 0,5 * 10^8;
в) (-4)18 и -5 * (-4)17;
г) -4 * (-3)32 и (-3)33.
Популярные решебники 7 класс Все решебники
*К сожалению, временные проблемы с публикацией комментариев с мобильных устройств.