Упр.6.12 ГДЗ Дорофеев Суворова 7 класс (Алгебра)
Решение #1

Рассмотрим вариант решения задания из учебника Дорофеев, Суворова, Бунимович 7 класс, Просвещение:
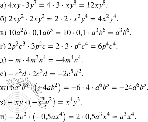
Выполните умножение:
а) 4ху * 3у7;
б) 2ху2 * 2xy2;
в) 10а2b * 0,1ab5;
г) 2р2с3 * 3р2с;
д) -m * 4m3n4;
е) -c2d * 2c3d;
ж) 6a5b3 * (-4ab2);
з) -ху * (—x3y2);
и) -2a2 * (-0,5аx4).
Популярные решебники 7 класс Все решебники
*размещая тексты в комментариях ниже, вы автоматически соглашаетесь с пользовательским соглашением