Упр.6.18 ГДЗ Дорофеев Суворова 7 класс (Алгебра)
Решение #1

Рассмотрим вариант решения задания из учебника Дорофеев, Суворова, Бунимович 7 класс, Просвещение:
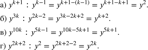
Представьте выражение в виде степени с основанием у:
а) у^(k + 1): у^(k-1);
б) у3к:у^(2к-2);
в) y10k: у^(5k-1);
г) y^(2k+2):y2.
Популярные решебники 7 класс Все решебники
*К сожалению, временные проблемы с публикацией комментариев с мобильных устройств.