Упр.6.17 ГДЗ Дорофеев Суворова 7 класс (Алгебра)
Решение #1

Рассмотрим вариант решения задания из учебника Дорофеев, Суворова, Бунимович 7 класс, Просвещение:
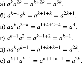
Представьте выражение в виде степени с основанием а:
а) aka2k;
б) a^(k + 1)ak;
в) aaka^(2-k);
г) а^(k-1)а2;
д) aaka^(k-1);
е) а^(k + 1)а^(k-1).
Популярные решебники 7 класс Все решебники
*К сожалению, временные проблемы с публикацией комментариев с мобильных устройств.