Упр.6.13 ГДЗ Дорофеев Суворова 7 класс (Алгебра)
Решение #1

Рассмотрим вариант решения задания из учебника Дорофеев, Суворова, Бунимович 7 класс, Просвещение:
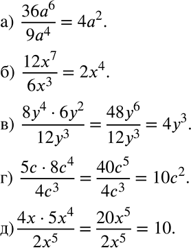
Сократите дробь (543—544).
543 а) 36a6/9a4;
б) 12x7/6x3;
в) (8y4 * 6y2)/12y3;
г) (5c * 8c4)/4c3;
д) (4x * 5x4)/2x5.
Популярные решебники 7 класс Все решебники
*размещая тексты в комментариях ниже, вы автоматически соглашаетесь с пользовательским соглашением