Упр.6.11 ГДЗ Дорофеев Суворова 7 класс (Алгебра)
Решение #1

Рассмотрим вариант решения задания из учебника Дорофеев, Суворова, Бунимович 7 класс, Просвещение:
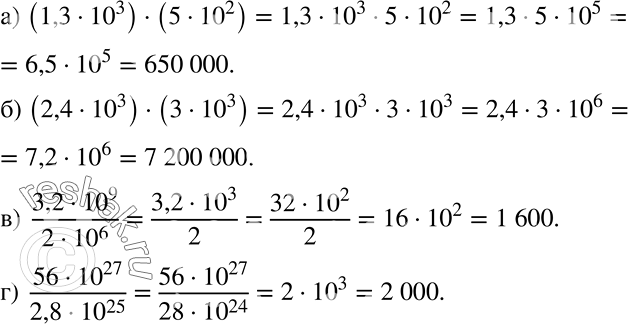
Применяем алгебру Найдите значение выражения:
а) (1,3 * 10^3) * (5 * 10^2);
б) (2,4 * 10^3) * (3 * 10^3);
в) (3,2 * 10^9)/(2 * 10^6);
г) (56 * 10^27)/*2,8 * 10^25).
Популярные решебники 7 класс Все решебники
*размещая тексты в комментариях ниже, вы автоматически соглашаетесь с пользовательским соглашением