Упр.530 ГДЗ Мерзляк 8 класс (Алгебра)
Решение #1
Решение #2
Решение #3

Рассмотрим вариант решения задания из учебника Мерзляк, Полонская, Якир 8 класс, Вентана-Граф:
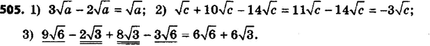
530. Упростите выражение:
1) 3 корень а - 2 корень a;
2) корень с + 10 корень с - 14 корень с;
3) 9 корень 6 - 2 корень 3 + 8 корень 3 - 3 корень 6.
Похожие решебники
Популярные решебники 8 класс Все решебники
*К сожалению, временные проблемы с публикацией комментариев с мобильных устройств.