Упр.527 ГДЗ Мерзляк 8 класс (Алгебра)
Решение #1
Решение #2
Решение #3

Рассмотрим вариант решения задания из учебника Мерзляк, Полонская, Якир 8 класс, Вентана-Граф:
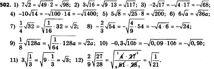
527. Внесите множитель под знак корня:
1) 7 корень 2;
2) 3 корень 13;
3) -2 корень 17;
4) -10 корень 14;
5) 5 корень 8;
6) 6 корень a;
7) 1/4 корень ;
8) -2/3 корень 54;
9) 1/8 корень 128a;
10) -0,3 корень 10b;
11) 3 корень 1/3;
12) 2/9 корень 27/28.
Похожие решебники
Популярные решебники 8 класс Все решебники
*размещая тексты в комментариях ниже, вы автоматически соглашаетесь с пользовательским соглашением