Упр.535 ГДЗ Мерзляк 8 класс (Алгебра)
Решение #1
Решение #2
Решение #3

Рассмотрим вариант решения задания из учебника Мерзляк, Полонская, Якир 8 класс, Вентана-Граф:
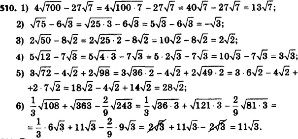
535. Упростите выражение:
1) 4 корень 700 - 27 корень 7;
2) корень 75 - 6 корень 3;
3) 2 корень 50 - 8 корень 2;
4) 5 корень 12 - 7 корень 3;
5) 3 корень 72 - 4 корень 2 + 2 корень 98;
6) 1/3 корень 108 + корень 363 - 2/9 корень 243.
Похожие решебники
Популярные решебники 8 класс Все решебники
*размещая тексты в комментариях ниже, вы автоматически соглашаетесь с пользовательским соглашением