Упр.529 ГДЗ Мерзляк 8 класс (Алгебра)
Решение #1
Решение #2
Решение #3

Рассмотрим вариант решения задания из учебника Мерзляк, Полонская, Якир 8 класс, Вентана-Граф:
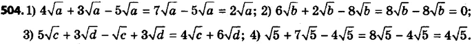
529. Упростите выражение:
1) 4 корень a + 3 корень а - 5 корень а;
2) 6 корень b + 2 корень b - 8 корень b;
3) 5 корень с + 3 корень d - корень с + 3 корень d;
4) корень 5 + 7 корень 5 - 4 корень 5.
Похожие решебники
Популярные решебники 8 класс Все решебники
*К сожалению, временные проблемы с публикацией комментариев с мобильных устройств.