Упр.528 ГДЗ Мерзляк Полонский 8 класс (Алгебра)
Решение #1 (Учебник 2025)
Решение #2 (Учебник 2025)
Решение #3 (Учебник 2019)

Рассмотрим вариант решения задания из учебника Мерзляк, Полонская, Якир 8 класс, Просвещение:
Найдите значение выражения:
1) корень 75 / корень 3;
2) корень 98 / корень 2;
3) корень 3 / корень 48;
4) корень 3,2 / корень 0,2;
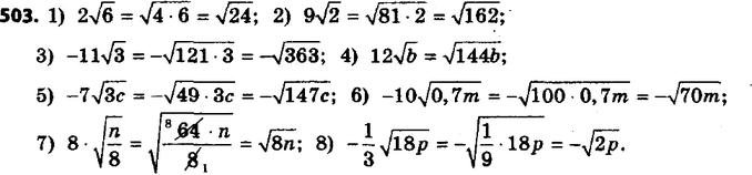
Внесите множитель под знак корня:
1) 2 корень 6;
2) 9 корень 2;
3) -11 корень 3;
4) 12 корень b;
5) -7 корень 3c;
6) -10 корень 0,7m;
7) 8 корень n/8;
8) -1/3 корень 18p.
Похожие решебники
Популярные решебники 8 класс Все решебники
*К сожалению, временные проблемы с публикацией комментариев с мобильных устройств.