Упр.508 ГДЗ Мерзляк Полонский 8 класс (Алгебра)
Решение #1 (Учебник 2025)
Решение #2 (Учебник 2025)
Решение #3 (Учебник 2019)
Решение #4 (Учебник 2019)

Рассмотрим вариант решения задания из учебника Мерзляк, Полонская, Якир 8 класс, Просвещение:
Докажите, что сумма, разность, произведение и частное двух рациональных чисел являются рациональными числами.
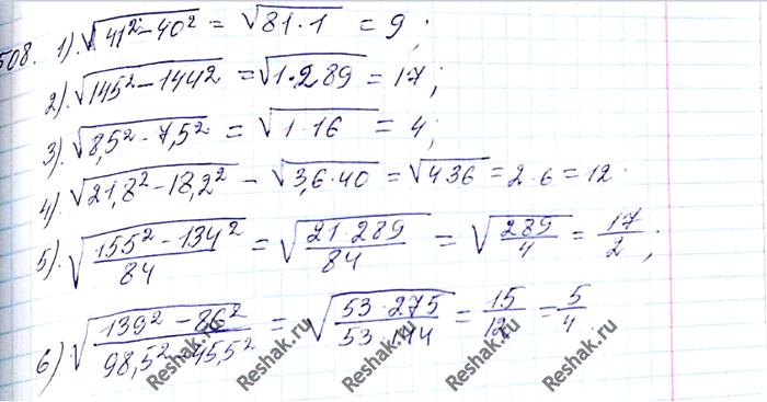
Найдите значение выражения:
1) корень (41^2 - 40^2);
2) корень (145^2 - 144^2);
3) корень (8,5^2 - 7,5^2);
4) корень (21,8^2 - 18,2^2);
5) корень ((155^2 - 134^2)/84);
6) корень ((139^2 - 86^2)/(98,5^2 - 45,5^2)).
Похожие решебники
Популярные решебники 8 класс Все решебники
*К сожалению, временные проблемы с публикацией комментариев с мобильных устройств.