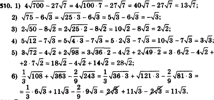
Упр.510 ГДЗ Мерзляк 8 класс (Алгебра)
Решение #1
Решение #2
Решение #3

Рассмотрим вариант решения задания из учебника Мерзляк, Полонская, Якир 8 класс, Вентана-Граф:
510. Замените выражение тождественно равным, не содержащим знака корня:
1) корень b2;
2) -0,4 корень с2;
3) корень a6;
4) корень m8.
Похожие решебники
Популярные решебники 8 класс Все решебники
*К сожалению, временные проблемы с публикацией комментариев с мобильных устройств.