Упр.503 ГДЗ Мерзляк Полонский 8 класс (Алгебра)
Решение #1 (Учебник 2025)
Решение #2 (Учебник 2025)
Решение #3 (Учебник 2019)
Решение #4 (Учебник 2019)

Рассмотрим вариант решения задания из учебника Мерзляк, Полонская, Якир 8 класс, Просвещение:
Укажите какое-нибудь значение а, при котором уравнение х2 = а:
1) имеет два рациональных корня;
2) имеет два иррациональных корня;
3) не имеет корней.
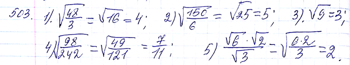
Найдите значение выражения:
1) корень 48 / корень 3;
2) корень 150 / корень 6;
3) корень 6,3 / корень 0,7;
4) корень 98 / корень 242;
5) корень 6 * корень 2 / корень 3.
Похожие решебники
Популярные решебники 8 класс Все решебники
*К сожалению, временные проблемы с публикацией комментариев с мобильных устройств.