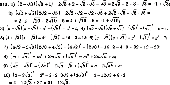
Упр.513 ГДЗ Мерзляк 8 класс (Алгебра)
Решение #1
Решение #2
Решение #3

Рассмотрим вариант решения задания из учебника Мерзляк, Полонская, Якир 8 класс, Вентана-Граф:
513. Упростите выражение:
1) корень 9a16;
2) корень 0,81d6, если d > = 0;
3) -5 корень 4х2, если x < = 0;
4) -0,1 корень 100z10, если z > = 0;
5) корень p6q8, если р > = 0;
6) корень 25m31n38, если m < = 0, n < = 0;
7) ab2 корень a4b18c22, если b > = 0, с < = 0;
8) -8m3p4/k2 корень (625k30p40/144m6), если m < 0, k > 0.
Похожие решебники
Популярные решебники 8 класс Все решебники
*размещая тексты в комментариях ниже, вы автоматически соглашаетесь с пользовательским соглашением