🔥ГДЗ под запретом?

Упр.500 ГДЗ Никольский Потапов 9 класс (Алгебра)

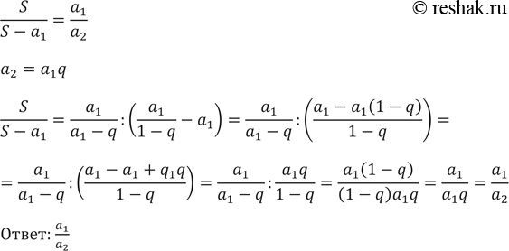
Решение #1

Изображение 500. Задача П. Ферма (1601—1665). Докажите, что для бесконечно убывающей геометрической прогрессии {an}, имеющей сумму S, выполняется равенствоS/(S-a1) =...

Решение #2

Изображение 500. Задача П. Ферма (1601—1665). Докажите, что для бесконечно убывающей геометрической прогрессии {an}, имеющей сумму S, выполняется равенствоS/(S-a1) =...

Рассмотрим вариант решения задания из учебника Никольский, Потапов 9 класс, Просвещение:
500. Задача П. Ферма (1601—1665). Докажите, что для бесконечно убывающей геометрической прогрессии {an}, имеющей сумму S, выполняется равенство
S/(S-a1) = a1/a2
*Цитирирование задания со ссылкой на учебник производится исключительно в учебных целях для лучшего понимания разбора решения задания.
*К сожалению, временные проблемы с публикацией комментариев с мобильных устройств.