🔥ГДЗ под запретом?

Упр.495 ГДЗ Никольский Потапов 9 класс (Алгебра)

Решение #1

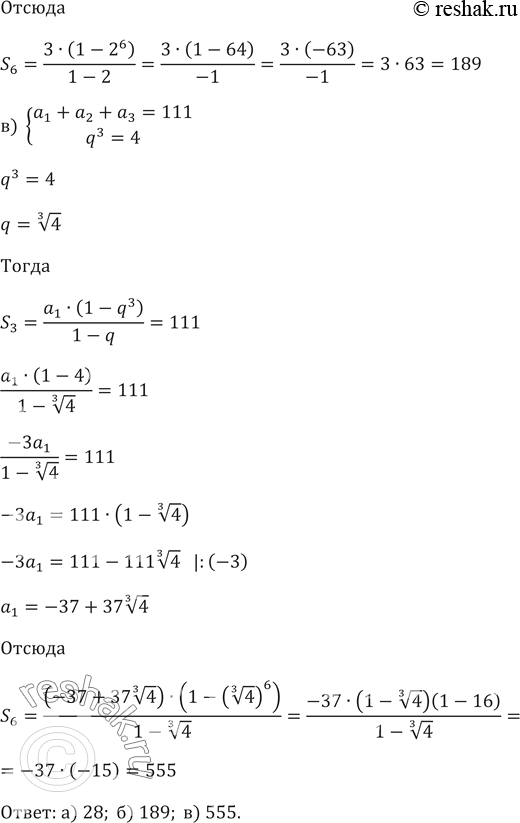
Изображение 495. Вычислите сумму первых шести членов геометрической прогрессии, если:а) разность между вторым и первым членами прогрессии равна 4, а между четвёртым и третьим...
Дополнительное изображение
Дополнительное изображение

Решение #2

Изображение 495. Вычислите сумму первых шести членов геометрической прогрессии, если:а) разность между вторым и первым членами прогрессии равна 4, а между четвёртым и третьим...
Дополнительное изображение
Дополнительное изображение

Рассмотрим вариант решения задания из учебника Никольский, Потапов 9 класс, Просвещение:
495. Вычислите сумму первых шести членов геометрической прогрессии, если:
а) разность между вторым и первым членами прогрессии равна 4, а между четвёртым и третьим равна 16;
б) разность между вторым и первым членами прогрессии равна 3, а сумма трёх её первых членов равна 21;
в) сумма трёх первых членов прогрессии равна 111, а куб её знаменателя равен 4.
*Цитирирование задания со ссылкой на учебник производится исключительно в учебных целях для лучшего понимания разбора решения задания.
*К сожалению, временные проблемы с публикацией комментариев с мобильных устройств.