Упр.50.14 ГДЗ Мерзляк 10 класс Углубленный уровень (Алгебра)
Решение #1

Рассмотрим вариант решения задания из учебника Мерзляк, Номировский, Поляков 10 класс, Просвещение:
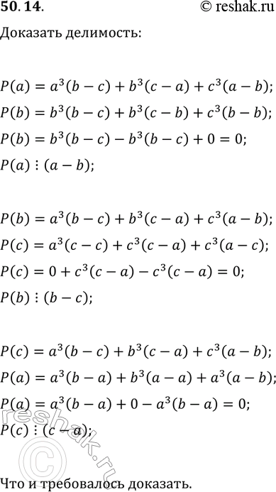
50.14. Докажите, что выражение a^3(b-c)+b^3(c-a)+c^3(a-b) делится нацело на выражение (a-b)(b-c)(c-a).
Похожие решебники
Популярные решебники 10 класс Все решебники
*размещая тексты в комментариях ниже, вы автоматически соглашаетесь с пользовательским соглашением