Упр.5.3 ГДЗ Мерзляк 10 класс Углубленный уровень (Алгебра)
Решение #1

Рассмотрим вариант решения задания из учебника Мерзляк, Номировский, Поляков 10 класс, Просвещение:
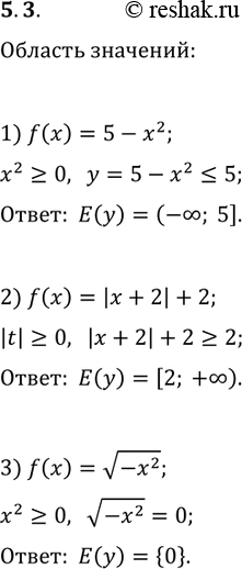
5.3. Найдите область значений функции:
1) f(x)=5-x^2; 2) f(x)=|x+2|+2; 3) f(x)=v(-x^2).
Похожие решебники
Популярные решебники 10 класс Все решебники
*К сожалению, временные проблемы с публикацией комментариев с мобильных устройств.