🔥ГДЗ под запретом?

Упр.5.68 ГДЗ Виленкин Жохов 6 класс Часть 2, Просвещение (Математика)

Решение #1 (Учебник 2023)

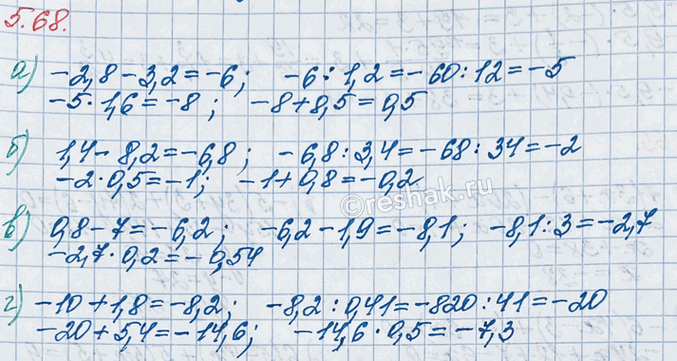
Изображение Упр.5.68 ГДЗ Виленкин Жохов 6 класс Часть 2, Просвещение

Решение #2 (Учебник 2023)

Изображение Упр.5.68 ГДЗ Виленкин Жохов 6 класс Часть 2, Просвещение

Рассмотрим вариант решения задания из учебника Виленкин, Жохов, Чесноков 6 класс, Просвещение:
Вычислите:
а) -2,8 - 3,2; б) 1,4 : 8,2; в) 0,8 - 7; г) -10 + 1,8.

*Цитирирование задания со ссылкой на учебник производится исключительно в учебных целях для лучшего понимания разбора решения задания.
*К сожалению, временные проблемы с публикацией комментариев с мобильных устройств.