🔥ГДЗ под запретом?

Упр.5.473 ГДЗ Виленкин Жохов 5 класс Часть 2, Просвещение (Математика)

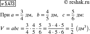
Решение #1 (Учебник 2023)

Изображение Упр.5.473 ГДЗ Виленкин Жохов 5 класс Часть 2, Просвещение

Рассмотрим вариант решения задания из учебника Виленкин, Жохов, Александрова 5 класс, Просвещение:
Используя формулу объёма прямоугольного параллелепипеда V = abc, найдите значение V при а = 3/4 дм, b = 4/5 дм, с = 5/6 дм.

*Цитирирование задания со ссылкой на учебник производится исключительно в учебных целях для лучшего понимания разбора решения задания.
*К сожалению, временные проблемы с публикацией комментариев с мобильных устройств.