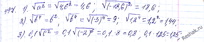
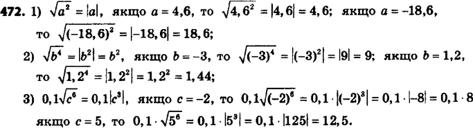
Упр.497 ГДЗ Мерзляк 8 класс (Алгебра)
Решение #1
Решение #2
Решение #3

Рассмотрим вариант решения задания из учебника Мерзляк, Полонская, Якир 8 класс, Вентана-Граф:
497. Найдите значение выражения:
1) корень a2, если а = 4,6; -18,6;
2) корень b4, если b = -3; 1,2;
3) 0,1 корень c6, если c = -2; 5.
Похожие решебники
Популярные решебники 8 класс Все решебники
*размещая тексты в комментариях ниже, вы автоматически соглашаетесь с пользовательским соглашением