Упр.500 ГДЗ Мерзляк Полонский 8 класс (Алгебра)
Решение #1 (Учебник 2025)
Решение #2 (Учебник 2025)
Решение #3 (Учебник 2019)
Решение #4 (Учебник 2019)

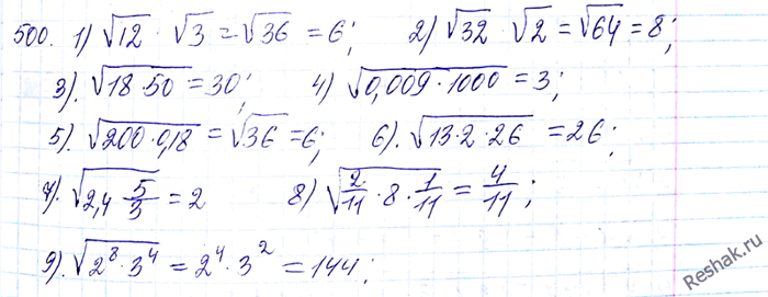
Рассмотрим вариант решения задания из учебника Мерзляк, Полонская, Якир 8 класс, Просвещение:
Сравните:
1) 0,234... и 0,225... ;
2) -1,333... и -1,345... .
Найдите значение выражения:
1) корень 12 * корень З;
2) корень 32 * корень 2;
3) корень 18 * корень 50;
Похожие решебники
Популярные решебники 8 класс Все решебники
*К сожалению, временные проблемы с публикацией комментариев с мобильных устройств.