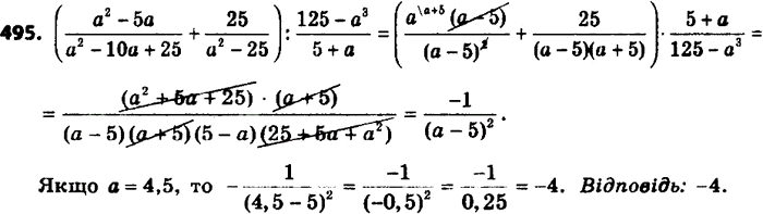
Упр.495 ГДЗ Мерзляк 8 класс (Алгебра)
Решение #1
Решение #2
Решение #3

Рассмотрим вариант решения задания из учебника Мерзляк, Полонская, Якир 8 класс, Вентана-Граф:
495. В роте 100 солдат. Каждую ночь на дежурство выходят три солдата.
Можно ли так организовать дежурство, чтобы через некоторое время каждый солдат побывал на дежурстве с каждым из остальных солдат ровно один раз?
Похожие решебники
Популярные решебники 8 класс Все решебники
*К сожалению, временные проблемы с публикацией комментариев с мобильных устройств.