Упр.467 ГДЗ Мерзляк Полонский 5 класс (Математика)
Решение #1 (Учебник 2024)
Решение #2 (Учебник 2019)
Решение #3 (Учебник 2019)

Рассмотрим вариант решения задания из учебника Мерзляк, Полонский, Якир 5 класс, Просвещение:
Упростите выражение:
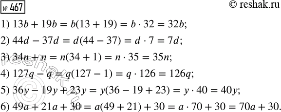
1) 13b + 19b; 3) 34n + n; 5) 36y - 19y + 23y;
2) 44d - 37d; 4) 127q - q; 6) 49а + 21а + 30.
Было собрано 328 кг проса. Сколько из этого проса можно получить пшена, если из 4 кг проса получается 3 кг пшена?
Составим краткую запись условий задачи.
4 кг проса 3 кг пшена
328 кг проса ? кг пшена
328 кг больше, чем 4 кг в 82 раза, так как
328:4=82.
Значит, и пшена из 328 кг получится в 82 раза больше, чем из 4 кг.
По условию из 4 кг проса получают 3 кг пшена.
Тогда, из 328 кг получат:
82•3=246 (кг) – пшена.
Ответ: 246 кг пшена.
Похожие решебники
Популярные решебники 5 класс Все решебники
*размещая тексты в комментариях ниже, вы автоматически соглашаетесь с пользовательским соглашением