Упр.42.7 ГДЗ Мерзляк 10 класс Углубленный уровень (Алгебра)
Решение #1

Рассмотрим вариант решения задания из учебника Мерзляк, Номировский, Поляков 10 класс, Просвещение:
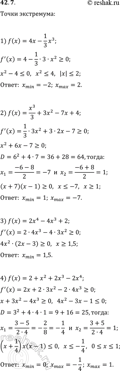
42.7. Найдите точки минимума и максимума функции:
1) f(x)=4x-1/3 x^3; 3) f(x)=2x^4-4x^3+2;
2) f(x)=x^3/3+3x^2-7x+4; 4) f(x)=2+x^2+2x^3-2x^4.
Похожие решебники
Популярные решебники 10 класс Все решебники
*размещая тексты в комментариях ниже, вы автоматически соглашаетесь с пользовательским соглашением