.42.4 10 ()
#1

, , 10 , :
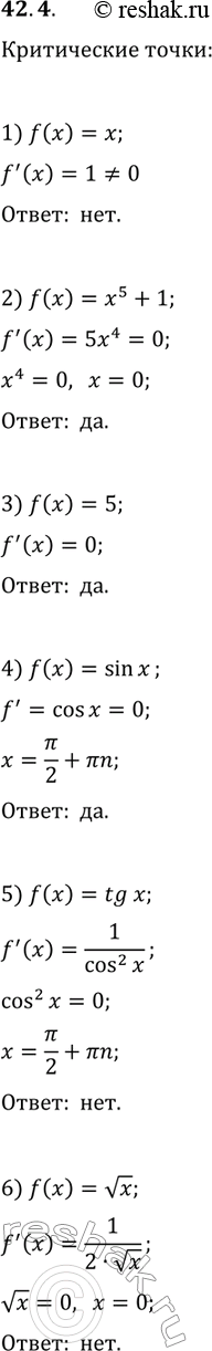
42.4. Имеет ли критические точки функция:
1) f(x)=x; 3) f(x)=5; 5) f(x)=tg(x);
2) f(x)=x^5+1; 4) f(x)=sin(x); 6) f(x)=√x?
* , .