🔥ГДЗ под запретом?

Упр.4.379 ГДЗ Виленкин Жохов 6 класс Часть 2, Просвещение (Математика)

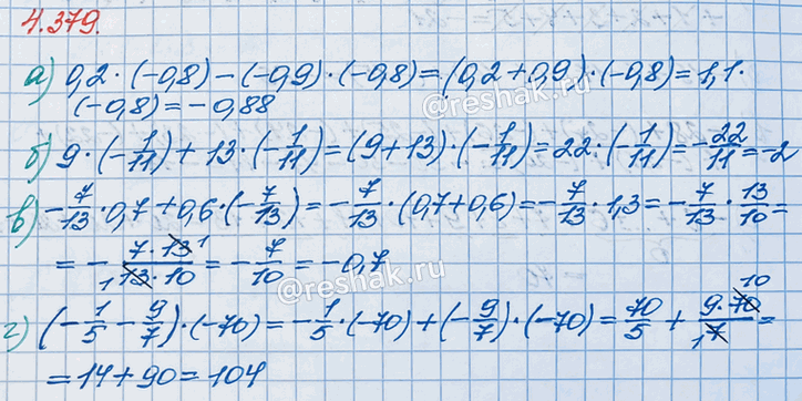
Решение #1 (Учебник 2023)

Изображение Вычислите значение выражения наиболее удобным способом:а) 0,2 · (-0,8) - (-0,9) · (-0,8);   в) -7/13 · 0,7 + 0,6 · (-7/13);б) 9 · (-1/11) + 13 · (-1/11);       г)...

Решение #2 (Учебник 2023)

Изображение Вычислите значение выражения наиболее удобным способом:а) 0,2 · (-0,8) - (-0,9) · (-0,8);   в) -7/13 · 0,7 + 0,6 · (-7/13);б) 9 · (-1/11) + 13 · (-1/11);       г)...
Дополнительное изображение

Решение #3 (Учебник 2023)

Изображение Вычислите значение выражения наиболее удобным способом:а) 0,2 · (-0,8) - (-0,9) · (-0,8);   в) -7/13 · 0,7 + 0,6 · (-7/13);б) 9 · (-1/11) + 13 · (-1/11);       г)...

Рассмотрим вариант решения задания из учебника Виленкин, Жохов, Чесноков 6 класс, Просвещение:
Вычислите значение выражения наиболее удобным способом:
а) 0,2 · (-0,8) - (-0,9) · (-0,8); в) -7/13 · 0,7 + 0,6 · (-7/13);
б) 9 · (-1/11) + 13 · (-1/11); г) (-1/5 - 9/7) · (-70).
При выполнении вычислений используем распределительное свойство умножения, то есть в пунктах а, б и в выносим одинаковые множители за скобки, затем выполняем вычисления в скобках и умножаем полученный результат на вынесенный множитель, а в пункте г, наоборот, раскрываем скобки и умножая каждый из компонентов, стоящий в скобках, затем складываем полученные произведения.
При выполнении вычислений опираемся на следующие правила:
- для того, чтобы перемножить два числа с разными знаками, необходимо умножить их модули и перед полученным произведением поставить знак «-».
- для того, чтобы перемножить два отрицательных числа, необходимо перемножить их модули.
- для того, чтобы из данного числа вычесть другое, необходимо к уменьшаемому прибавить число, противоположное вычитаемому.
- для того, чтобы умножить десятичную дробь на натуральное число, необходимо умножить их как натуральные числа, не обращая внимание на запятые; в полученном произведении отделить запятой справа столько цифр, сколько их стоит после запятой у умножаемой дроби.
- для того, чтобы умножить обыкновенную дробь на натуральное число, необходимо её числитель умножить на это число, а знаменатель оставить без изменения.
- при вычислениях, если возможно, выполняем сокращение обыкновенных дробей.
а) 0,2•(-0,8)—0,9•(-0,8)=-0,8•(0,2-(-0,9))=-0,8•(0,2+0,9)=-0,8•1,1=-0,88
б) 9•(-1/11)+13•(-1/11)=-1/11•(9+13)=-1/11•22=-(1•22)/11==-(2•11)/11=-2/1=-2
в) -7/13•0,7+0,6•(-7/13)=-7/13•(0,7+0,6)=-7/13•1,3=-(7•1,3)/13=-(7•13•0,1)/13=-0,7/1=-0,7
г) (-1/5-9/7)•(-70)=(-1/5+(-9/7))•(-70)=-1/5•(-70)+(-9/7•(-70))=1/5•70+9/7•70=70/5+(9•70)/7=
(5•14)/5+(9•7•10)/7=14+90=104

*Цитирирование задания со ссылкой на учебник производится исключительно в учебных целях для лучшего понимания разбора решения задания.
*К сожалению, временные проблемы с публикацией комментариев с мобильных устройств.