🔥ГДЗ под запретом?

Упр.4.373 ГДЗ Виленкин Жохов 6 класс Часть 2, Просвещение (Математика)

Решение #1 (Учебник 2023)

Изображение Вычислите значение выражения наиболее удобным способом:а) 2 · (-50) · 8 · 11;              г) -2/7 · (-11/18) · (-7/8) · 9/11;б) 15 · 4 (-2) · (-25);             д)...

Решение #2 (Учебник 2023)

Изображение Вычислите значение выражения наиболее удобным способом:а) 2 · (-50) · 8 · 11;              г) -2/7 · (-11/18) · (-7/8) · 9/11;б) 15 · 4 (-2) · (-25);             д)...
Дополнительное изображение
Дополнительное изображение

Решение #3 (Учебник 2023)

Изображение Вычислите значение выражения наиболее удобным способом:а) 2 · (-50) · 8 · 11;              г) -2/7 · (-11/18) · (-7/8) · 9/11;б) 15 · 4 (-2) · (-25);             д)...

Рассмотрим вариант решения задания из учебника Виленкин, Жохов, Чесноков 6 класс, Просвещение:
Вычислите значение выражения наиболее удобным способом:
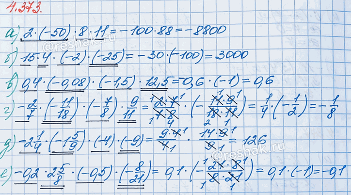
а) 2 · (-50) · 8 · 11; г) -2/7 · (-11/18) · (-7/8) · 9/11;
б) 15 · 4 (-2) · (-25); д) -2 1/4 · (-1 5/9) · (-4) · (-9);
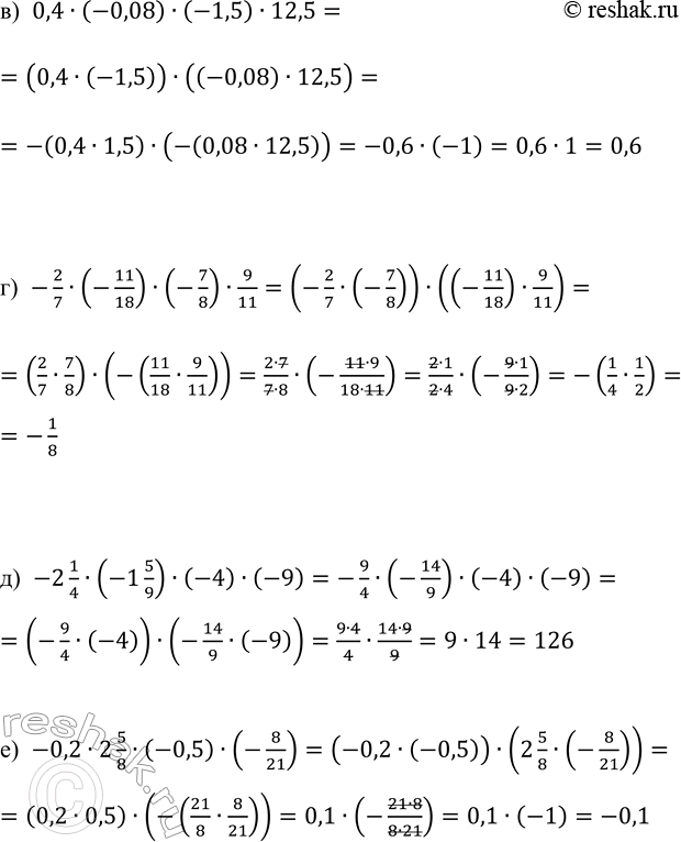
в) 0,4 · (-0,08) · (-1,5) · 12,5; е) -0,2 · 2 5/8 · (-0,5) · (-8/21).

Используя переместительное и сочетательное свойства умножения, группируем компоненты так, чтобы умножение сделать проще.
Если в выражении встречаются только обыкновенные дроби (смешанные числа), то группируем их так, чтобы при их умножении возможно было выполнить сокращение, а если в выражении встречаются и десятичные и обыкновенные дроби (смешанные числа), то группируем отдельно десятичные дроби и отдельно обыкновенные дроби (смешанные числа).
При выполнении вычислений опираемся на следующие правила:
- для того, чтобы перемножить два числа с разными знаками, необходимо умножить их модули и перед полученным произведением поставить знак «-».
- для того, чтобы перемножить два отрицательных числа, необходимо перемножить их модули.
- для того, чтобы перемножить две десятичные дроби, необходимо умножить их как натуральные числа, не обращая внимание на запятые; в полученном произведении отделить запятой справа столько цифр, сколько их стоит после запятых в обоих множителях вместе.
- для того, чтобы выполнить умножение смешанных чисел, необходимо записать эти числа в виде неправильных дробей, а затем воспользоваться правилом умножения дробей.
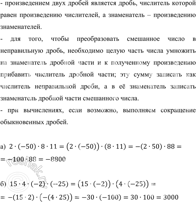
- произведением двух дробей является дробь, числитель которой равен произведению числителей, а знаменатель – произведению знаменателей.
- для того, чтобы преобразовать смешанное число в неправильную дробь, необходимо целую часть числа умножить на знаменатель дробной части и к полученному произведению прибавить числитель дробной части; эту сумму записать как числитель неправильной дроби, а в её знаменатель записать знаменатель дробной части смешанного числа.
- при вычислениях, если возможно, выполняем сокращение обыкновенных дробей.
а) 2•(-50)•8•11=(2•(-50))•(8•11)=-(2•50)•88=-100•88=-8800
б) 15•4•(-2)•(-25)=(15•(-2))•(4•(-25))=-(15•2)•(-(4•25))=-30•(-100)=30•100=3000
в) 0,4•(-0,08)•(-1,5)•12,5=(0,4•(-1,5))•((-0,08)•12,5)=-(0,4•1,5)•(-(0,08•12,5))=-0,6•(-1)=0,6•1=0,6
г) -2/7•(-11/18)•(-7/8)•9/11=(-2/7•(-7/8))•((-11/18)•9/11)=(2/7•7/8)•(-(11/18•9/11))=(2•7)/(7•8)•(-(11•9)/(18•11))=(2•1)/(2•4)•(-(9•1)/(9•2))=-(1/4•1/2)=-1/8
д) -2 1/4•(-1 5/9)•(-4)•(-9)=-9/4•(-14/9)•(-4)•(-9)=(-9/4•(-4))•(-14/9•(-9))=(9•4)/4•(14•9)/9=9•14=126
е) -0,2•2 5/8•(-0,5)•(-8/21)=(-0,2•(-0,5))•(2 5/8•(-8/21))=(0,2•0,5)•(-(21/8•8/21))=0,1•(-(21•8)/(8•21))=0,1•(-1)=-0,1

*Цитирирование задания со ссылкой на учебник производится исключительно в учебных целях для лучшего понимания разбора решения задания.
*К сожалению, временные проблемы с публикацией комментариев с мобильных устройств.