Упр.39.30 Часть 2 ГДЗ Мордкович Семенов 7 класс (Алгебра)
Решение #1 (Учебник 2025)

Рассмотрим вариант решения задания из учебника Мордкович, Семенов, Александрова 7 класс, Бином:
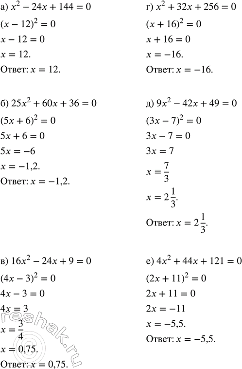
Решите уравнение:
а) x^2 - 24x + 144 = 0; г) x^2 + 32x + 256 = 0;
б) 25x^2 + 60x + 36 = 0; д) 9x^2 - 42x + 49 = 0;
в) 16x^2 - 24x + 9 = 0; е) 4x^2 + 44x + 121 = 0.
Похожие решебники
Популярные решебники 7 класс Все решебники
*К сожалению, временные проблемы с публикацией комментариев с мобильных устройств.