Упр.39.35 Часть 2 ГДЗ Мордкович Семенов 7 класс (Алгебра)
Решение #1 (Учебник 2025)

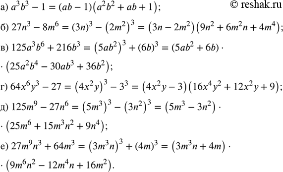
Рассмотрим вариант решения задания из учебника Мордкович, Семенов, Александрова 7 класс, Бином:
Разложите, если возможно, данный двучлен на множители.
а) а^3 b^3 — 1; г) 64х^6 y^3 — 27;
б) 27n^3 - 8m^6; д) 125m^9 - 27n^6;
в) 125а^3 b^6 + 216b^3; е) 27m^9 n^3 + 64m^3.
Похожие решебники
Популярные решебники 7 класс Все решебники
*К сожалению, временные проблемы с публикацией комментариев с мобильных устройств.