Упр.39.29 Часть 2 ГДЗ Мордкович Семенов 7 класс (Алгебра)
Решение #1 (Учебник 2025)

Рассмотрим вариант решения задания из учебника Мордкович, Семенов, Александрова 7 класс, Бином:
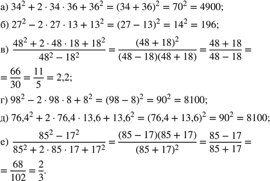
Вычислите наиболее рациональным способом:
а) 34^2 + 2 · 34 · 36 + 36^2;
б) 27^2 - 2 · 27 · 13 + 13^2;
B) (48^2 + 2 · 48 · 18 + 18^2)/(48^2 - 18^2);
г) 98^2 - 2 · 98 · 8 + 8^2;
д) 76,4^2 + 2 · 76,4 · 13,6 + 13,6^2;
е) (85^2 - 17^2)/(85^2 + 2 · 85 · 17 + 17^2).
Похожие решебники
Популярные решебники 7 класс Все решебники
*К сожалению, временные проблемы с публикацией комментариев с мобильных устройств.