Упр.39.27 Часть 2 ГДЗ Мордкович Семенов 7 класс (Алгебра)
Решение #1 (Учебник 2025)

Рассмотрим вариант решения задания из учебника Мордкович, Семенов, Александрова 7 класс, Бином:
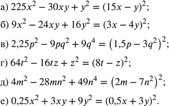
Разложите на множители:
а) 225x^2 - 30xy + y^2; г) 64t^2 - 16tz + z^2;
б) 9x^2 - 24xy + 16y^2; д) 4m^2 - 28mn^2 + 49n^4;
в) 2,25p^2 - 9pq^2 + 9q^4; е) 0,25x^2 + 3xy + 9y^2.
Похожие решебники
Популярные решебники 7 класс Все решебники
*К сожалению, временные проблемы с публикацией комментариев с мобильных устройств.