Упр.39.13 ГДЗ Мерзляк 10 класс Углубленный уровень (Алгебра)
Решение #1

Рассмотрим вариант решения задания из учебника Мерзляк, Номировский, Поляков 10 класс, Просвещение:
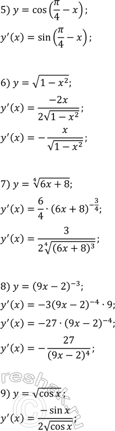
39.13. Найдите производную функции:
1) y=(3x-5)^6; 4) y=2tg(4x); 7) y=(6x+8)^(1/4);
2) y=sin(x/3); 5) y=cos(?/4-x); 8) y=(9x-2)^(-3);
3) y=cos^2(x); 6) y=v(1-x^2); 9) y=vcos(x).
Похожие решебники
Популярные решебники 10 класс Все решебники
*размещая тексты в комментариях ниже, вы автоматически соглашаетесь с пользовательским соглашением