Упр.39 ГДЗ Бунимович Булычев 11 класс (Алгебра)

Решение #1

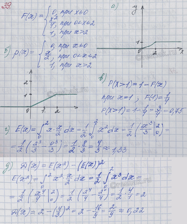
Изображение Непрерывная случайная величина X имеет следующую функцию распределения:а)	Постройте график функции F(x).б)	Найдите плотность распределения р(х) и постройте её...

Рассмотрим вариант решения задания из учебника Бунимович, Булычев 11 класс, Просвещение:
Непрерывная случайная величина X имеет следующую функцию распределения:
а) Постройте график функции F(x).
б) Найдите плотность распределения р(х) и постройте её график.
в) Вычислите вероятность Р(Х > 1).
г) Найдите математическое ожидание и дисперсию случайной величины X.
*Цитирирование задания со ссылкой на учебник производится исключительно в учебных целях для лучшего понимания разбора решения задания.
*размещая тексты в комментариях ниже, вы автоматически соглашаетесь с пользовательским соглашением