Упр.37.3 ГДЗ Мерзляк 10 класс Углубленный уровень (Алгебра)
Решение #1

Рассмотрим вариант решения задания из учебника Мерзляк, Номировский, Поляков 10 класс, Просвещение:
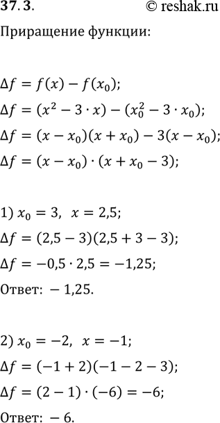
37.3. Для функции f(x)=x^2-3x выразите приращение ?f функции f в точке x_0 через x_0 и х. Найдите ?f, если: 1) x_0=3, x=2,5; 2) x_0=-2, x=-1.
Похожие решебники
Популярные решебники 10 класс Все решебники
*размещая тексты в комментариях ниже, вы автоматически соглашаетесь с пользовательским соглашением