Упр.34.7 ГДЗ Мерзляк 10 класс Углубленный уровень (Алгебра)
Решение #1

Рассмотрим вариант решения задания из учебника Мерзляк, Номировский, Поляков 10 класс, Просвещение:
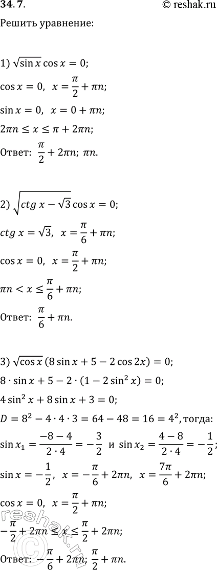
34.7. Решите уравнение:
1) vsin(x) cos(x)=0;
2) v(ctg(x)-v3) cos(x)=0;
3) vcos(x) (8sin(x)+5-2cos(2x))=0.
Похожие решебники
Популярные решебники 10 класс Все решебники
*размещая тексты в комментариях ниже, вы автоматически соглашаетесь с пользовательским соглашением