Упр.33.10 ГДЗ Мерзляк 10 класс Углубленный уровень (Алгебра)
Решение #1

Рассмотрим вариант решения задания из учебника Мерзляк, Номировский, Поляков 10 класс, Просвещение:
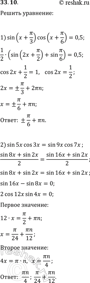
33.10. Решите уравнение:
1) sin(x+?/3)cos(x+?/6)=0,5;
2) sin(5x)cos(3x)=sin(9x)cos(7x).
Похожие решебники
Популярные решебники 10 класс Все решебники
*размещая тексты в комментариях ниже, вы автоматически соглашаетесь с пользовательским соглашением