Упр.32.9 ГДЗ Мерзляк 10 класс Углубленный уровень (Алгебра)
Решение #1

Рассмотрим вариант решения задания из учебника Мерзляк, Номировский, Поляков 10 класс, Просвещение:
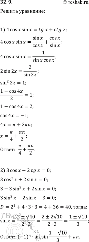
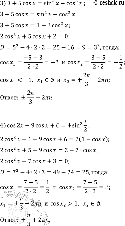
32.9. Решите уравнение:
1) 4cos(x)sin(x)=tg(x)+ctg(x); 3) 3+5cos(x)=sin^4(x)-cos^4(x);
2) 3cos(x)+2tg(x)=0; 4) cos(2x)-9cos(x)+6=4sin^2(x/2).
Похожие решебники
Популярные решебники 10 класс Все решебники
*размещая тексты в комментариях ниже, вы автоматически соглашаетесь с пользовательским соглашением