Упр.32.7 ГДЗ Мерзляк 10 класс Углубленный уровень (Алгебра)
Решение #1

Рассмотрим вариант решения задания из учебника Мерзляк, Номировский, Поляков 10 класс, Просвещение:
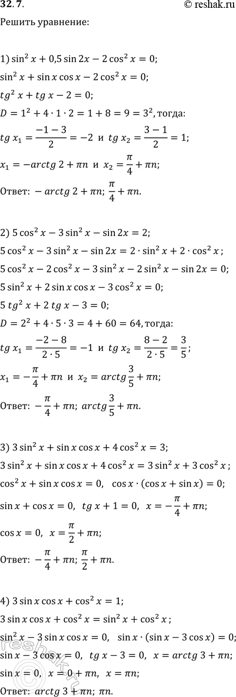
32.7. Решите уравнение:
1) sin^2(x)+0,5sin(2x)-2cos^2(x)=0;
2) 5cos^2(x)-3sin^2(x)-sin(2x)=2;
3) 3sin^2(x)+sin(x)cos(x)+4cos^2(x)=3;
4) 3sin(x)cos(x)+cos^2(x)=1.
Похожие решебники
Популярные решебники 10 класс Все решебники
*размещая тексты в комментариях ниже, вы автоматически соглашаетесь с пользовательским соглашением