Упр.32.4 ГДЗ Мерзляк 10 класс Углубленный уровень (Алгебра)
Решение #1

Рассмотрим вариант решения задания из учебника Мерзляк, Номировский, Поляков 10 класс, Просвещение:
32.4. Решите уравнение:
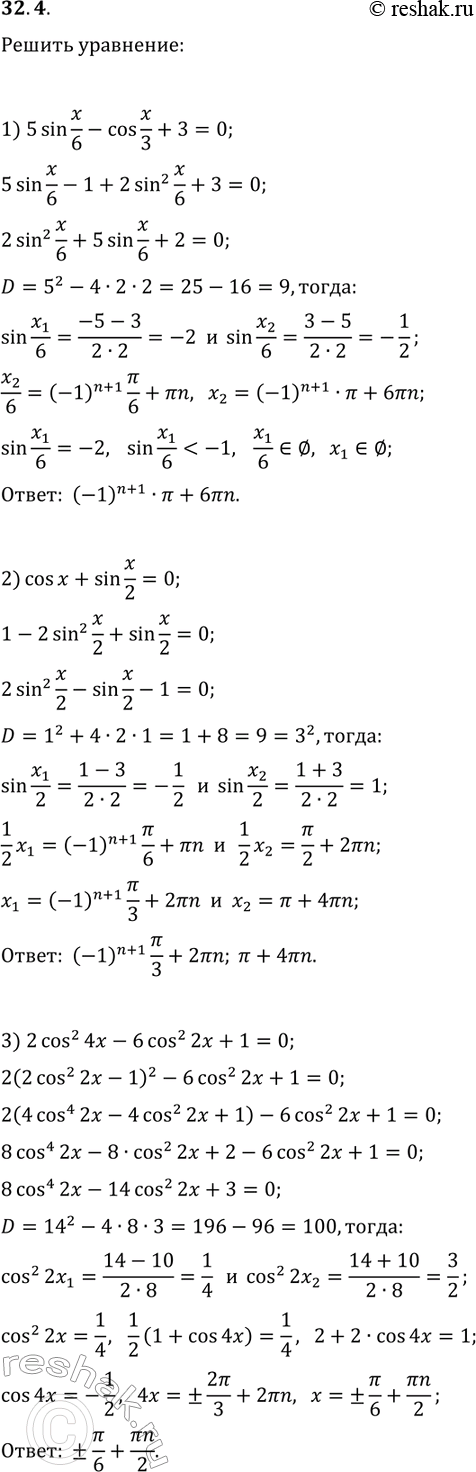
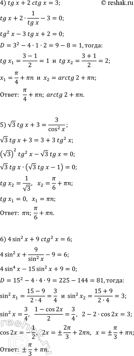
1) 5sin(x/6)-cos(x/3)+3=0; 4) tg(x)+2ctg(x)=3;
2) cos(x)+sin(x/2)=0; 5) v3tg(x)+3=3/cos^2(x);
3) 2cos^2(4x)-6cos^2(2x)+1=0; 6) 4sin^2(x)+9ctg^2(x)=6.
Похожие решебники
Популярные решебники 10 класс Все решебники
*размещая тексты в комментариях ниже, вы автоматически соглашаетесь с пользовательским соглашением