Упр.32.15 ГДЗ Мерзляк 10 класс Углубленный уровень (Алгебра)
Решение #1

Рассмотрим вариант решения задания из учебника Мерзляк, Номировский, Поляков 10 класс, Просвещение:
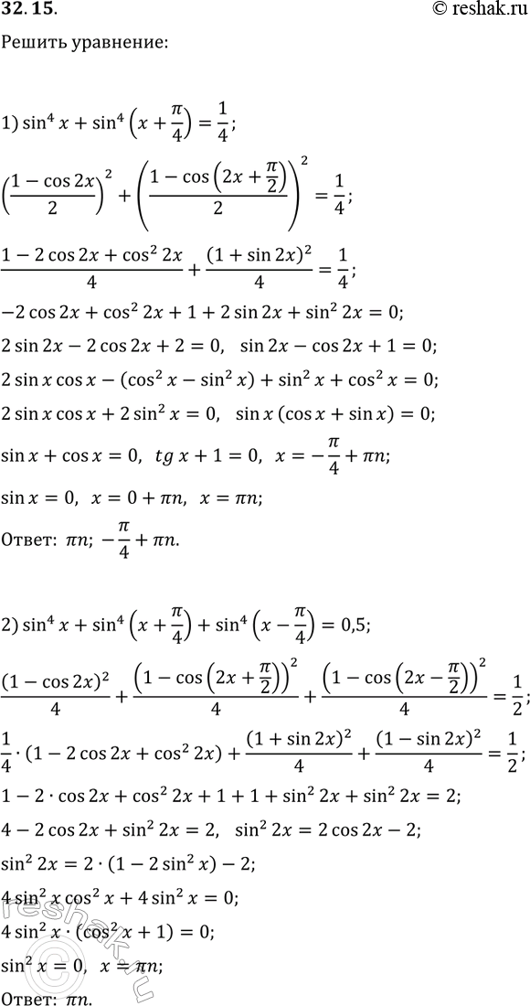
32.15. Решите уравнение:
1) sin^4(x)+sin^4(x+?/4)=1/4;
2) sin^4(x)+sin^4(x+?/4)+sin^4(x-?/4)=0,5.
Похожие решебники
Популярные решебники 10 класс Все решебники
*размещая тексты в комментариях ниже, вы автоматически соглашаетесь с пользовательским соглашением