Упр.32.2 ГДЗ Мерзляк 10 класс Углубленный уровень (Алгебра)
Решение #1

Рассмотрим вариант решения задания из учебника Мерзляк, Номировский, Поляков 10 класс, Просвещение:
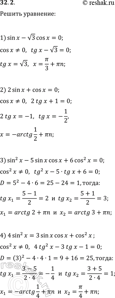
32.2. Решите уравнение:
1) sin(x)-v3cos(x)=0; 3) sin^2(x)-5sin(x)cos(x)+6cos^2(x)=0;
2) 2sin(x)+cos(x)=0; 4) 4sin^2(x)=3sin(x)cos(x)+cos^2(x).
Похожие решебники
Популярные решебники 10 класс Все решебники
*размещая тексты в комментариях ниже, вы автоматически соглашаетесь с пользовательским соглашением