Упр.32.1 ГДЗ Мордкович Семенов 11 класс (Алгебра)
Решение #1 (Учебник 2025)
Решение #2 (Учебник 2022)

Рассмотрим вариант решения задания из учебника Мордкович, Семенов, Александрова 11 класс, Просвещение:
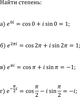
Найдите e^(it) при данном значении t.
а) t = 0; б) t = 2?; в) t = ?; г) t = -?/2.
Вычислите среднее следующего набора чисел:
а) 1, 2, 3, 4, 5; г) -1, -2, -3, 4, 5;
б) -1, 2, 3, 4, 5; д) 1, -2, 3, -4, 5;
в) -1, -2, 3, 4, 5; е) 1, -2, -3, -4, 5.
Похожие решебники
Популярные решебники 11 класс Все решебники
*К сожалению, временные проблемы с публикацией комментариев с мобильных устройств.