Упр.30.7 ГДЗ Мордкович Семенов 11 класс (Алгебра)
Решение #1 (Учебник 2025)
Решение #2 (Учебник 2022)

Рассмотрим вариант решения задания из учебника Мордкович, Семенов, Александрова 11 класс, Просвещение:
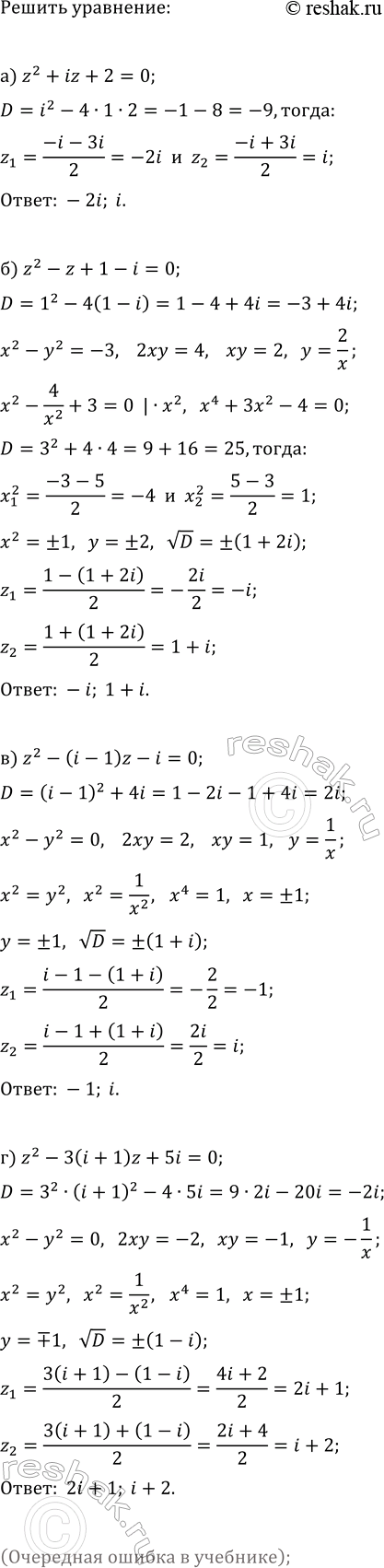
Используя формулу z_(1,2) = (-b ± v(b^2 - 4ac)) / 2a корней квадратного уравнения az^2 + bz + c = 0, c комплексными коэффициентами, решите уравнение:
а) z^2 + iz + 2 = 0; в) z^2 - (i - 1)z - i = 0;
б) z^2 - z + 1 - i = 0; г) z^2 - 3(i + 1)z + 5i - 1 = 0.
Решите неравенство методом введения новой переменной:
а) 4^(2x)-6·4^x+8?0;
б) 3^(1+x)·2^(1-x)+3^x·2^(-x)?10,5;
в) 2·5^(2x)-11·5^x+5?0;
г) 2^x·5^(1-x)+2^(x+1)·5^(-x)?2,8.
Похожие решебники
Популярные решебники 11 класс Все решебники
*К сожалению, временные проблемы с публикацией комментариев с мобильных устройств.