Упр.30.5 ГДЗ Мордкович Семенов 11 класс (Алгебра)
Решение #1 (Учебник 2025)
Решение #2 (Учебник 2022)

Рассмотрим вариант решения задания из учебника Мордкович, Семенов, Александрова 11 класс, Просвещение:
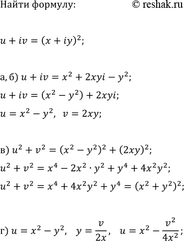
Пусть u + iv = (x + iy)^2. Найдите формулу, выражающую:
а) u через x и y; в) u^2 + v^2 через x^2 + y^2;
б) v через x и y; г) u через x ? 0 и v.
Решите неравенство, применяя теоремы о равносильности:
а) (3x-11)^(1/5)>(x+1)^(1/5); г) (6x+5)^(1/7)<(3x+26)^(1/7);
б) (x^2-6x)^7<(x-6)^7; д) (2x^2-5x)^11?(x^2+6)^11;
в) (2·0,1^x+3)^6?(0,1^x+103)^6; е) (2^(x+1)-15)^8?(2^x+17)^8.
Похожие решебники
Популярные решебники 11 класс Все решебники
*К сожалению, временные проблемы с публикацией комментариев с мобильных устройств.